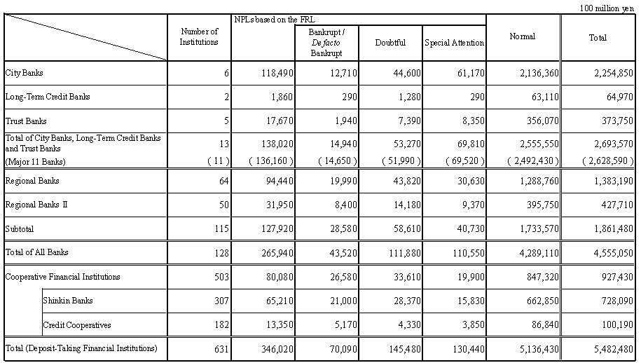
Table-2 The Status of 
Non-Performing Loans (NPLs) of All Banks based on the Financial Reconstruction 
Law
(as of end-March 2004)
|  | 
| (Note:) | |
| 1. | Figures are rounded to the nearest billion. | 
| 2. | "Major 11 banks" exclude Shinsei Bank and Aozora Bank from City Banks, Long-term Credit Banks and Trust Banks. | 
| 3. | "Subtotal" of " Regional Banks" and "Regional Banks II" includes the figure of Saitama Risona Bank. | 
| 4. | Figures in the above table about the Mizuho Group, the UFJ Bank, the NISHI-NIPPON Bank and the Fukuoka City Bank include those which are transferred to subsidiary companies for corporate revitalization. | 
| 5. | "Cooperative Financial Institutions" exclude Credit Federation of Agricultural Cooperatives etc. | 
| Table-1 | The Status of Non-Performing Loans held by all banks (as of end-March 2004) | 
| Table-2 | The Status of Non-Performing Loans (NPLs) of All Banks based on the Financial Reconstruction Law | 
| Table-3 | Transition of Non-Performing Loans (NPLs) based on the Financial Reconstruction Law | 
| Table-4 | Total Losses on Disposal of Non-Performing Loans of All Banks | 
| (Reference) | The Status of Risk Management Loans of All Banks (as of end-March 2004) | 
| The Status of Non Performing Loans as of end-March 2004 | |